A termodinâmica, em particular a termodinâmica dos gases, é uma das áreas mais interessantes que permeiam o grande arcabouço de estudo da física. De fato, é nela onde processos envolvendo a dinâmica e estática do calor são estudados. Além disso, muitos problemas dessa área envolvem uma grande quantidade de constituintes de matéria, como é o caso da termodinâmica dos gases, o que implica ao mesmo uma enorme dificuldade de ser tratada apenas analiticamente. Entretanto, os conceitos básicos dessa área já podem ser estudados tanto no ensino médio quanto no ensino superior.
Nesse sentido, nós trazemos aqui uma questão resolvida com todo o passo a passo sobre um dos temas mais relevantes da termodinâmica: ciclos termodinâmicos. Com efeito, os esses ciclos são processos termodinâmicos que envolvem etapas físicas em que certas ações são feitas sobre algum ente físico, em geral, um gás. Decerto, nosso objetivo aqui é fazer uma questão que pode ser encontrada, em forma similar, tanto em exercícios de nível superior associados a física 2 ou alguns problemas mais complexos voltados ao ensino médio.
Então, vem com a gente gurunauta que hoje vamos nos focar em entender um pouco mais sobre termodinâmica.
O que é a termodinâmica ? E a termodinâmica dos gases
A termodinâmica é um ramo da física que estuda as relações entre calor, trabalho e energia. Assim, ela busca descrever como a energia térmica se transforma em outras formas de energia e como isso afeta o comportamento de sistemas físicos, como gases, líquidos e sólidos. Ademais, a termodinâmica é uma teoria que busca se fundamentar em leis fundamentais, conhecidas como leis da termodinâmica. Em suma, são essas leis que estabelecem os princípios básicos que governam o comportamento dos sistemas termodinâmicos.
Descrição rápida das leis da termodinâmica
Com efeito, as leis da termodinâmica podem ser sintetizadas a seguir.
- Com efeito, a primeira lei da termodinâmica estabelece a conservação da energia. Assim, a ela institui que a energia total de um sistema isolado permanece constante. Portanto, podemos converter energia para formas distintas mas, ao fim dos processos, teremos sempre a mesma quantidade não havendo perca ou criação de energia.
- Ademais, temos a segunda lei da termodinâmica. Decerto, essa lei aborda a direção do fluxo de calor o qual entendemos por meio do conceito de entropia. Além disso, essa lei ainda restringe o funcionamento de processos termodinâmicos ao passo que impõem restrições de eficiência para máquinas térmicas e refrigeradores.
- Nesse contexto, emerge a terceira lei da termodinâmica. Com efeito, essa lei estabelece que a entropia de um sistema quando próximo do zero absoluto (–273,15 °C) ou 0 kelvin tende a zero. Dessa forma, o estado de um sistema perfeitamente ordenado deve ocorrer apenas à temperatura zero que é onde teríamos a entropia mínima possível.
- Além das três leis usuais há ainda a lei zero. Com efeito, essa lei estabelece a noção de equilíbrio térmico entre dois sistemas. De fato, ela afirma que se dois sistemas estão em equilíbrio térmico com um terceiro sistema, eles estão em equilíbrio térmico entre si.
Nesse arcabouço, a termodinâmica encontra em sistemas como gases os principais exemplos para uma boa aplicação dos seus fundamentos. Assim, é usual até mesmos nos referirmos a essa parte como termodinâmica dos gases ou dos gases ideais que são um tipo particular de gás que será o seu objeto de estudo seja no ensino médio ou em um curso de física térmica introdutório (usualmente a física 2).
Os ciclos na Termodinâmica
Então, agora que já entendemos um pouco sobre o objetivo da física sobre a termodinâmica vamos nos voltar ao nosso problema particular. Com efeito, estaremos interessados em avaliar o comportamento de um gás ideal em um ciclo termodinâmico o qual é representado, usualmente, em diagramas fechados de pressão e volume. Para tanto, será necessário então entendermos o que são esses ciclos na termodinâmica.
Em suma, os ciclos termodinâmicos são então um conjunto de processos que são feitos sobre nosso sistema físico de forma que os processos são cíclicos e os constituintes do sistema ficam sempre associados aos mesmos estados do problema após cada execução do ciclo.
Decerto, há vários ciclos termodinâmicos importantes sendo esses associados a diferentes processos termodinâmicos a seguir destacamos alguns desses.
- Ciclo de Carnot:
- Ciclo teórico reversível.
- Duas transformações adiabáticas e duas transformações isotérmicas.
- Usado como referência para a eficiência máxima de motores térmicos.
- Ciclo Otto:
- Usado em motores de combustão interna a gasolina.
- Composto por admissão, compressão, explosão e exaustão.
- Combustão a volume constante.
- Ciclo Diesel:
- Usado em motores a diesel.
- Compressão adiabática do ar.
- Combustão ocorre a pressão constante.
- Ciclo Rankine:
- Usado em usinas de energia a vapor.
- Transformação de água em vapor, expansão através de uma turbina, condensação e retorno à caldeira.
- Amplamente utilizado na geração de eletricidade.
- Ciclo de refrigeração por compressão de vapor:
- Usado em sistemas de refrigeração e ar condicionado.
- Compressão de um refrigerante gasoso, condensação, expansão e evaporação.
- Absorve calor do ambiente resfriado
Resolvendo um problema de termodinâmica dos gases em um ciclo
Agora, vamos resolver nosso problema que é descrito a seguir.
(Enunciado – adaptado) Considere um mol de um gás ideal diatômico. Ademais, considere ainda que o gás esteja num estado tal que sua temperatura, pressão e volume sejam (T0,P0,V0). Então, a partir disso são feitos os seguintes processos:
- (i) comprimido isobaricamente ate 3 / 4 do volume inicial V0;
- (ii) aquecido, a volume constante, até voltar à temperatura inicial;
- (iii) expandido a pressão constante até voltar ao volume inicial;
- (iv) resfriado, a volume constante, até voltar à pressão inicial.
Então, de posse disso resolva os seguintes itens:
- (a) Desenhe o diagrama P V associado.
- (b) Determine o trabalho para cada processo e para o ciclo inteiro.
- (c) Calcule as temperaturas máxima e mínima atingidas.
Fazendo o diagrama PV dos processos do gás: Solução do problema – item (a)
A primeira coisa que faremos é desenhar o diagrama PV. Com efeito, esse diagrama é construido simplesmente analisando os processos dados. Assim, podemos desenhar o seguinte diagrama.

Ademais, note que as retas horizontais determinam os processos isobáricos (processos feitos a pressão constante) e as retas verticais os processos isovolumétricos (processos feitos a volume constante). Então, de posse do ciclo termodinâmico feito podemos então prosseguir para as outras questões.
Compreendendo a termodinâmica dos gases: Cálculo do trabalho – solução item (b)
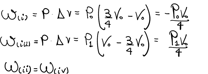
Portanto, para o item b vamos calcular os trabalhos de cada ciclo. Decerto, sabemos que o trabalho termodinâmico para um gás ideal pode ser calculado como sendo P * delta V . Assim, vamos calcular o trabalho conhecendo as pressões e a variação de volume em cada processo. Entretanto, note que há dois processos que possuem trabalho nulo que são os associados ao processo (ii) e (iv). De fato, esses processos tem trabalho nulo uma vez que não possuem variação de volume, isto é, são isovolumétricos (volume constante). Então, o cálculo do trabalho segue por:


Ademais, aqui o índice dentro dos colchetes se refere aos processos que foram descritos no enunciado da questão.
Compreendendo a termodinâmica dos gases: Temperaturas máximas e mínimas – solução item (c)
Então, vamos resolver agora o item (c). De fato, o item (c) nos requer o conhecimento de uma importante relação para esse sistema. Em suma, os gases ideais obedecem uma equação de estado que envolve as três principais grandezas físicas que determinam completamente suas características que são a pressão, volume e temperatura. Com efeito, a equação dos gases ideais é a seguinte:
Em que, N = número de mols do gás, R é a constante dos gases ideias que tem valores tabelados, P é a pressão, V é o volume e T a temperatura. De posse disso disso, veja que a maior temperatura será atingida quando P e V forem máximos ao passo que essas grandezas são diretamente proporcionais e logo ela é aquela que está no estado d que fizemos o no gráfico.
Por outro lado, a temperatura menor possível será então aquela do estado b. Daí, veja que temos então o seguinte desenvolvimento.


Assim, escrevemos todas as equações de estado necessárias para enfim resolvermos o problema. Com efeito, queremos determinar T3 e T1 e para isso determinaremos essas quantidade em termos de T0 apenas que é o que nos foi dado pela questão. Assim, como NR é constante podemos igualar qualquer par de equações acima. Portanto, igualando (*) e (**) determinaremos T1 e se igualarmos (***) e (****) vamos achar T3. Logo, segue que teremos.


o que finaliza então a questão.
Referências
- SCHROEDER, Daniel V. An Introduction to Thermal Physics. New York: Addison-Wesley, 2000.
- ÇENGEL, Yunus A.; BOLES, Michael A. Thermodynamics: An Engineering Approach. 8th ed. New York: McGraw-Hill Education, 2014.
- MORAN, Michael J.; SHAPIRO, Howard N.; BOETTNER, Daisie D.; BAILEY, Margaret B. Fundamentals of Engineering Thermodynamics. 8th ed. Hoboken: John Wiley & Sons, 2014.
- KESTIN, Joseph. A Course in Thermodynamics. Boca Raton: CRC Press, 1979.
- TURNS, Stephen R. Thermodynamics: Concepts and Applications. 4th ed. New York: Cambridge University Press, 2014.
- SMITH, J.M.; VAN NESS, H.C.; ABBOTT, M.M.; VAN NESS, Hendrick C. Introduction to Chemical Engineering Thermodynamics. 7th ed. New York: McGraw-Hill Education, 2004.
- “Thermodynamics: Concepts and Applications” (Termodinâmica: Conceitos e Aplicações) por Stephen R. Turns.
- “Introduction to Chemical Engineering Thermodynamics” (Introdução à Termodinâmica para Engenharia Química) por J.M. Smith, H.C. Van Ness, M.M. Abbott e Hendrick C. Van Ness.
- KHAN ACADEMY. Termodinâmica. Disponível em: https://www.khanacademy.org/science/physics/thermodynamics. Acesso em: 30 nov. 2023.
- HYPERPHYSICS. Termodinâmica. Disponível em: http://hyperphysics.phy-astr.gsu.edu/hbase/thermo.html. Acesso em: 30 nov. 2023.
- ENGINEERING TOOLBOX. Thermodynamics. Disponível em: https://www.engineeringtoolbox.com/thermodynamics-t_15.html. Acesso em: 30 nov. 2023.
- MIT OpenCourseWare. Thermodynamics and Kinetics. Disponível em: https://ocw.mit.edu/courses/chemistry/5-60-thermodynamics-kinetics-spring-2008/. Acesso em: 30 nov. 2023.