EDOs as equações diferenciais ordinárias são um tipo de equação muito importante que estudamos ao longo dos mais variados temas do cálculo diferencial. De fato, uma das máximas expressões do cálculo diferencial é a concepção das equações diferenciais ordinárias as quais desempenham papeis fundamentais em várias áreas das ciências e engenharias.
Ademais, as EDOs por mais elegantes e belas que sejam podem ainda ser uma grande pedra na vida de vários estudantes. Decerto, resolver EDOs, por vezes não é uma tarefa tão simples uma vez que para muitas delas não temos uma forma definitiva e única para aplicarmos. Assim, o estudo de EDOs perpassa a necessidade de termos em mentes vários e diversos métodos de solução para serem aplicados em cada situação.
Tendo isso em vista, nós da MeuGuru trouxemos a vocês gurunautas esse artigo que é um tutorial ráido e prático sobre EDOs de primeira ordem.
A importância das EDOs
De início, vamos relembrar um pouco das Equações Diferenciais Ordinárias (EDOs). Com efeito, a ideia por trás dessas equações é muito parecida com o que estudamos no ensino fundamental e médio com as equações algébricas. Decerto, as equações diferenciais ordinárias são equações em que a incógnita (valor a ser descoberto, análogo ao x das equações algébricas) é uma função associada a uma derivada total que vemos no cálculo 1.
Ademais, essas EDOs desempenham um papel fundamental em muitos campos da ciência, engenharia e matemática aplicada. Decerto, elas são usadas para descrever uma ampla variedade de fenômenos naturais e processos dinâmicos que envolvem taxas de mudança. Assim, a importância das EDOs reside na sua capacidade de modelar e analisar problemas complexos, fornecendo uma linguagem matemática para descrever o comportamento dinâmico de sistemas.
Aqui estão algumas áreas em que as EDOs desempenham um papel crucial:
- Física: Nas leis fundamentais da física, como a mecânica clássica, a termodinâmica e a eletromagnetismo. Por exemplo, a equação diferencial do movimento (a segunda lei de Newton) é uma EDO que descreve a relação entre força, massa e aceleração.
- Engenharia: As EDOs são fundamentais na engenharia para modelar e resolver problemas relacionados a sistemas dinâmicos.
- Biologia e Medicina: As EDOs são urgem em modelos matemáticos que descrevem vários processos biológicos e médicos, como a dinâmica populacional, a propagação de doenças, a cinética de reações bioquímicas e o crescimento de tumores.
- Economia: A economia também se beneficia do uso de EDOs para modelar e analisar fenômenos econômicos, como o crescimento populacional, a oferta e demanda, e a dinâmica dos mercados financeiros.
EDOs de primeira ordem
Dentre as EDOs há várias classificações possíveis, entretanto, nesse artigo não vamos nos ater a como você pode classificar EDOs, certamente isso será um tópico para outro tutorial. Assim, vamos então nos direcionar ao assunto principal desse artigo: As EDOs de primeira ordem.
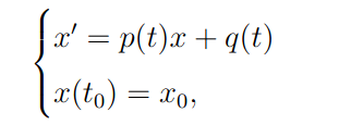
Com efeito, as equações diferenciais de primeira ordem são equações diferenciais cujo temos apenas a primeira derivada da função envolvida. De maneira geral, temos que um problema de valor inicial para a EDOs de primeira ordem é o seguinte:

Com efeito, há um importante resultado da matemática chamado de Teorema da Existência e Unicidade que garante que as soluções dessa EDO são únicas para um dado problema de valor inicial. Você deve entender que quando integramos a EDO geramos uma constante de integração e logo nosso resultado é na verdade uma família de soluções. Porém, dado o conhecimento de um dado ponto da curva (usualmente tomado no ponto inicial) podemos determinar a constante de integração e o problema fica especificado de forma única.
Resolvendo EDOs de primeira ordem: Um tutorial
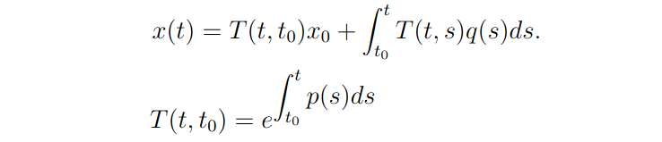
Agora, vamos discutir um pouco sobre como se perpassa uma solução de uma EDO de primeira ordem. De início veja que as EDOs de primeira ordem são os casos mais simples de equações diferenciais que conhecemos e, apenas para elas é possível se obter uma relação fechada que determina a solução de qualquer problema de valor inicial.
Com efeito, essa relação é a fórmula da variação dos parâmetros e ela é um marco para os estudiosos de equações diferenciais uma vez que esse é um resultado primoroso e que queríamos ter para qualquer tipo de equação.


Entretanto, nossa vida não possui tantas flores e se você olhar bem essa expressão verá que mesmo ela sendo uma fórmula fechada ela ainda é suficientemente difícil de memorização. Então, caro gurunauta vem comigo que hoje vamos te ensinar algumas ideias fundamentais que vão te ajudar a contornar o problema.
Passo 1 – A busca do fator integrante
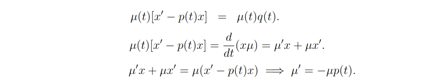
Em geral, integrar uma EDO diretamente pode ser impossível, ou algo muito trabalhoso o que pode te custar bons tempos em suas provas e vamos combinar que durante uma prova da faculdade o que menos aparentamos ter é tempo não é gurunauta?. Com efeito, o fator integrante é uma função μ que é construida (obtida) de modo que consigamos escrever o seguinte


Com efeito, a segunda linha acima é essencialmente o desenvolvimento para o que fator integrante μ seja obtido. Muitas vezes, esse fator integrante salva vidas pois ao ser multiplicado pela função q(t) pode resultar em uma função extremamente simples de ser integrada!.
Passo 2
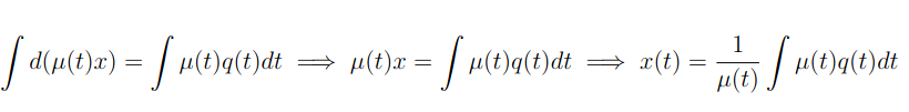
Após a determinação do fator integrante a única coisa que nos resta fazer é um passo simples e direto de integração. Com efeito, veja que multiplicando a EDO pelo fator integrante devemos ter que


e agora sim integrando diretamente obtemos o seguinte desenvolvimento


com efeito esses passos fundamentais são os que correspondem a obtenção formal da fórmula da variação das constantes. Desse modo, segue que não estamos fazendo nenhum truque ou cometendo algum pecado matemático. Todavia, entender esse procedimento é muito mais valioso do que apenas memorizar a fórmula pronta uma vez que isso te dará uma bagagem para você arrasar nas suas provas.
Exemplos resolvido passo a passo!
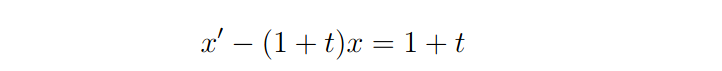
Agora, vamos ao exemplo resolvido. Com efeito, nosso problema será resolver a seguinte EDO:


sob condição inicial x(0) =1, nosso objetivo será obter a função x(t). Nesse sentido, vamos fazer a solução de duas formas distintas. A primeira vamos empregar a solução pronta dada pela fórmula da variação dos parâmetros e a segunda prosseguiremos obtendo o fator integrante associado e em seguida vamos obter a solução via integração direta.
Solução via fórmula da variação dos parâmetros
Decerto, na variação dos parâmetros nosso trabalho é, em essência, calcular a função T auxiliar e depois prosseguir com uma certa longa álgebra. Com efeito, aqui teremos o seguinte.


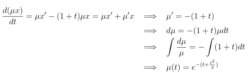
Solução via fator integrante e integração
Bom, o fator integrante μ é obtido, como já vimos anteriormente da seguinte forma:


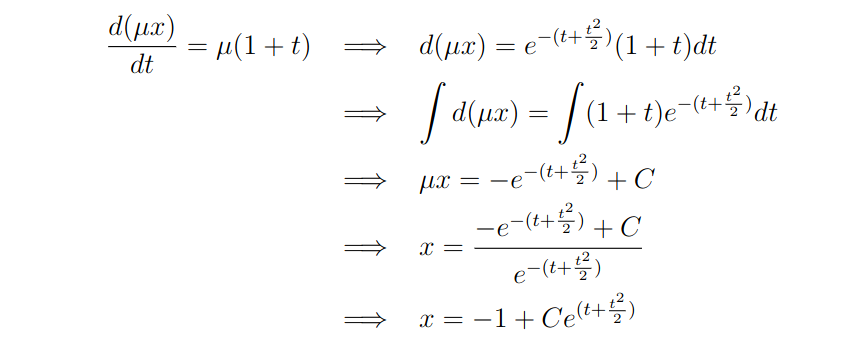
Desse modo, segue que multiplicando a EDO pelo fator integrante μ teremos então o seguinte desenvolvimento:


Daí, basta aplicarmos a condição inicial que verificaremos que C = 2 tendo o exato resultando anterior


que corrobora com o desenvolvimento feito anteriormente.
Referências
- BOYCE, William E.; DIPRIMA, Richard C. Equações Diferenciais Elementares e Problemas de Valores de Contorno. [Inglês: Elementary Differential Equations and Boundary Value Problems]. Editora LTC, 2012.
- SIMMONS, George F. Equações Diferenciais com Aplicações e Notas Históricas. [Inglês: Differential Equations with Applications and Historical Notes]. Editora MAA, 2010.
- MARTINS, Roberto de Almeida. Equações Diferenciais: Uma Introdução Elementar. Editora LTC, 2014.
- TENENBAUM, Morris; POLLARD, Harry. Equações Diferenciais Ordinárias. [Inglês: Ordinary Differential Equations]. Editora LTC, 2012.
- KHAN ACADEMY. Equações Diferenciais. Disponível em: https://www.khanacademy.org/math/differential-equations. Acesso em: 13 de setembro de 2023.
- DAWKINS, Paul. Differential Equations – Paul’s Online Math Notes. Disponível em: http://tutorial.math.lamar.edu/Classes/DE/DE.aspx. Acesso em: 13 de setembro de 2023.