O plano e a reta são dois elementos geométricos que são extremamente importantes no escopo da geometria analítica. De fato, dentre esses elementos o plano configura-se com um dos principais objetos da geometria, para além do ramo analítico apenas, sendo um ente fundamental em toda geometria euclidiana e até em geometrias mais gerais. Ademais, no contexto da geometria analítica seu estudo configura-se parte ímpar da disciplina.
Nesse sentido, nesse artigo nós da MeuGuru decidimos elaborar para você gurunauta esse artigo focado em estudar os aspectos mais importantes que permeiam os planos na geometria analítica. Com efeito, nesse texto objetivaremos um tutorial prático e direto sobre o plano, perpassando a determinação de suas equações, classificações bem como apresentaremos um problema resolvido da área para melhor entendimento. Então, vem com a gente gurunauta que hoje vamos entrar fundo nesse tópico de geometria analítica.
Entendendo o que é o plano
De início, é importante deixarmos claro um pouco sobre como podemos determinar objetos geométricos podem ser descritos. Com efeito, objetos como curvas, pontos, retas, planos e superfícies são tais que nós podemos descrevê-los por equações algébricas. Essas equações, por vezes tem complexidade similar ao quão difícil seria conceber o objeto geométrico. Entretanto, no contexto da geometria analítica que estamos aqui essas equações, em geral, são simples e não requerem conhecimentos mais avançados do que equações do segundo grau.
Feito esse comentário objetos geométricos, bem como os mesmos podem ser modelados ou descritos pela geometria analítica iremos agora ao nosso objetivo principal: o plano. Com efeito, para descrevermos um plano, no contexto da geometria analítica é necessário, de forma geral apenas termos um dado ponto A(x1,y1,z1) que pertence ao plano e um vetor n que é ortogonal ao plano conforme mostrado na Figura a seguir.

Equação geral
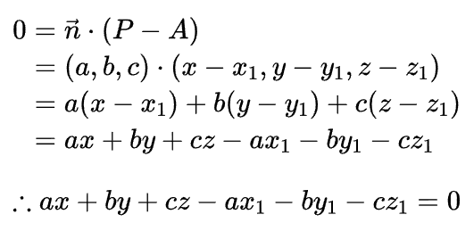
De posse disso, conseguimos já estabelecer a expressão que fornece a equação geral do plano. Assim, é necessário apenas que tomemos um ponto arbitrário P(x,y,z) o qual descreverá as coordenadas do plano e e definirmos o vetor (x,y,z) – A e posteriormente fazemos o produto interno com o vetor n ortogonal ao plano. Ou seja, devemos ter o seguinte desenvolvimento matemático.


Observe que a primeira igualdade decorre do fato de que o ponto P e o ponto A são pertencentes ao plano e, por conseguinte, o vetor n = (a,b,c) que tomamos deve ser ortogonal ao vetor P-A e por isso o produto interno entre esses termos é identicamente nulo. Além disso, perceba que os fatores que ficam multiplicando os coeficientes x,y e z são exatamente os valores que determinam o vetor ortogonal n que utilizamos. Decerto, essa observação é bastante importante nesse contexto, pois, isso permite que ao olharmos para uma equação desse tipo já consigamos, imediatamente, identificar esse elemento.
Dessa forma, conseguimos obter a descrição algébrica para a equação do plano. Ademais, essa é a equação chama-se por equação geral do plano. Essa observação é importante visto que não temos apenas um tipo de equação a considerar, nas subseções seguintes exploraremos as equações vetoriais e paramétricas do plano.
Equações vetoriais
Bom, de início seguimos uma abordagem válida e bastante razoável para obtermos a descrição do plano. Entretanto, essa descrição e abordagem não é única, ou seja, podemos determinar uma equação equivalente de outra maneira e, inclusive, sem utilizarmos algum vetor ortogonal (vetor diretor) para isso. Em verdade, o caminho que podemos seguir é escolher além do ponto A e do ponto P que tínhamos sobre o plano. Não só isso mas também escolhemos ainda um par de vetores, também sobre este plano mas que sejam coplanares conforme esquematizamos na figura a seguir.


Veja, então que de posse da regra do paralelogramo, que vemos comumente no início da disciplina podemos então estabelecer a seguinte expressão para o ponto P.


Conforme mencionamos anteriormente, o ponto P tem as coordenadas arbitrárias (x,y,z) do plano as quais são o foco e objetivo nosso em determiná-las. Então, faz sentido e é conveniente explicitarmos os termos acima do seguinte modo.


Perceba que h e t nessa expressão desempenham os papeis de parâmetros lineares que fazem o crescimento ou descrescimento de um dos vetores diretores u e v do plano. Assim, a expressão acima configura-se como a equação vetorial do plano visto que ela está posta em forma de vetor.
Equação paramétrica
Com efeito, essa equação, ou melhor conjunto de equações é apenas uma parametrização das coordenadas do plano em termos de alguns coeficientes que possam ser convenientes a serem tratados como parâmetros. Nesse sentido, torna-se simples e imediato que uma parametrização viável a ser feita é partir da formulação do plano sobre a equação vetorial acima. Desse modo, podemos olhar componente a componente dela e então ficaremos com uma expressão relativamente simples para cada componente sendo essas dadas por.


Assim, temos então a última forma de equação para o plano.
Resolvendo uma questão de plano com geometria analítica
Uma vez que, já perpassamos os principais elementos e descrições sobre o plano com relação a sua representação algébrica iremos agora partir para a solução de um dado problema. Com efeito, o problema que apresentaremos captura bem o que trouxemos nesse artigo e fará com que você gurunauta, já vá conseguindo por em prática tudo isso que você leu aqui. Bom, então, vamos ao enunciado a seguir.
- (Enunciado) Considere um dado plano que passa pelo ponto A(4,3,-1) e é paralelo aos vetores u=(2,-3,2) e v=(-1,15,-3). Obtenhas as equações vetorial, paramétricas e geral para esse plano.
Solução
Certamente, essa questão é de um nível simples e configura-se, em essência como um exercício de fixação o que é extremamente útil e relevante no processo de ensino. Então, vamos primeiro obter a equação vetorial e paramétrica que são bem simples de serem calculadas. Uma vez que os vetores u e v são paralelos ao plano segue que a formulação vetorial é imediata sendo dada por:
- (x,y,z) = A + hu + tv = (4,3,-1) + h(2,-3,2) + t(-1,15,-3)
e temos a equação vetorial do plano. No entanto, uma vez tendo tal equação o processo seguinte se torna fácil e logo determinar as equações paramétricas são imediatas e essas são:
- x = 4 + 2h – t
- y = 3 -3h + 15t
- z = -1 + 2h -3t.
em que h e t são parâmetros reais. Assim, essa parte da questão está finalizada. Agora, vamos a parte que talvez seja a mais interessante da questão a qual refere-se a obtenção da equação geral do plano. Com efeito, essa questão ficará de exercício para você gurunauta, todavia, nós aqui te daremos um roteiro simples de como fazê-la.
- É necessário que você obtenha um vetor diretor n para achar a equação geral. Logo, para obter tal vetor será necessário que você realize o produto vetorial dos vetores u e v. De fato, o vetor obtido a esses vetores é mutualmente ortogonal a u e a v, portanto, nesse caso você terá então o vetor diretor que era necessário.
- Posteriormente, basta que você siga nosso tutorial que fizemos e terá em mãos sua equação.
Referências
- ANTON, H.; RORRES, C. Algebra Linear com Aplicacoes. Porto Alegre: Bookman, 2012. ISBN 9788573078473. Disponível em: https://books.google.com.br/books?id=pOaaSKP9IcMC. Acesso em: 25 abr. 2024.
- BOULOS, P.; DE CAMARGO, I. Geometria Analítica: Um Tratamento Vetorial. 3ª ed. reimpressão. São Paulo: Pearson Universidades, 2004. ISBN 9788587918918. Disponível em: https://books.google.com.br/books?id=lmnqAAAACAAJ. Acesso em: 25 abr. 2024.
- STEINBRUCH, Alfredo; WINTERLE, Paulo. Geometria Analítica. 6. ed. São Paulo: Pearson, 2009. 408 p.
- IEZZI, Gelson; DOLCE, Osvaldo; DEGENSZAJN, David; PÉRIGO, Roberto. Fundamentos da Matemática Elementar: Volume Único. São Paulo: Atual, 2019.