Esse artigo é um tutorial de integrais duplas, mais especificamente, sobre como identificar regiões de integração em problemas de integração dupla. Com efeito, as integrais duplas são apenas uma generalização das integrais de funções de uma variável que comumente somos apresentados ao longo do curso de cálculo diferencial a uma variável.
Entretanto, a adição de uma variável modifica consideravelmente o problema de integração a medida que não estamos mais integrando ao longo da reta real. Com efeito, estamos agora interessados em regiões do plano xy que precisarão ser descritas de forma usual, paramétrica ou até mesmo em outro sistema de coordenadas. Nesse sentido, além de conhecermos as técnicas usuais de integração será necessário que tenhamos conhecimento de como obter e especificar as regiões de forma inteligente para que posso ser factível a obtenção da integral desejada.
Nesse sentido, nós da MeuGuru trouxemos hoje para você esse tutorial específico das integrias duplas. Em particular, vamos nos focar em como você deve pensar frente a esses problemas e, por conseguinte, isso te trará ideias de novas formas de pensar em como obter regiões de integração.
Mini tutorial de integrais duplas: O que são ?
De início, é sempre bom revisitarmos um pouco sobre as integrais duplas. Com efeito, a integral dupla é uma extensão do conceito de integral unidimensional para uma função de duas variáveis. De fato, elas são úteis para o cálculo da área de uma região plana (usualmente algum região do plano xy) e também para calcular grandezas físicas como massa, momento de inércia e distribuições de carga. Em geral, denotamos a integral dupla da seguinte forma
∬ f(x, y) dA onde “f(x, y)” é uma função integrável e “dA” é o elemento de área infinitesimal.
Ademais, em analogia as integrais simples de uma variável que calculamos em um subintervalo da reta real, definimos as integrais duplas numa região de domínio D no plano xy.
Além disso, assim como as integrais simples também possuem um sentido geométrico não seria diferente com as integrais duplas. Com efeito, em geral elas representam ao volumes de sólidos. Em verdade, as integrais simples também podem avaliar volumes, basta ver nosso artigo artigo sobre volumes com integrais. Entretanto, esse desenvolvimento pode é um caso particular das integrais duplas e assim de fato temos que integrais duplas avaliam volumes.
Um tutorial de integrais duplas: Identificando regiões no plano
Agora, vamos ao nosso tutorial de integrais duplas com relação a identificação das regiões de integração no plano xy. Com efeito, uma vez que estamos integrando em regiões planas podemos ter casos tanto simples quanto complexos e, por conseguinte isso pode nos levar a desenvolvimentos complicados. Nesse sentido, vamos exibir algumas ideias chaves para a determinação das integrais duplas.
Regiões retangulares.
Nosso tutorial começa com a análise do primeiro tipo de região: as retangulares. Com efeito, as regiões retangulares são simples e fáceis elas correspondem a integração da função f(x,y) numa região do plano xy que é um retângulo. Desse modo, temos que o conjunto D associado a esse tipo de região é o seguinte
D = {(x,y) do plano tais que: a ≤ x ≤ b, c ≤ y ≤ d.}.
Em geral, usaremos essa região de integração quando o problema fornecer essa informação ou quando nós encontrarmos diretamente integrais como as postas a seguir:

Tutorial de integrais duplas: Regiões arbitrárias
Na seção anterior dedicamos nossa análise apenas as regiões retangulares as quais são quase que imediatas de serem calculadas. Entretanto, esses não são o único tipo de região que podemos calcular. Com efeito, agora vamos nos adentrar na especificação das regiões arbitrárias de integração.
Decerto, ao contrário das regiões retangulares discutidas anteriormente, podemos ainda ter regiões arbitrárias de integração e nesse caso não temos uma regra específica do que fazer. De fato, a ideia geral aqui seria você desenvolver um certo repertório matemático sobre essas regiões. Entretanto, há algumas ideias chaves que fazem com que você desenvolva noções que serão importantes para sua delimitação as quais exploraremos agora.
Regiões do tipo 1
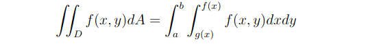
Nesse primeiro tipo de integral a região de integração é do tipo que o elemento infinitesimal será escrito como dA = dydx. Ou seja, primeiro a integração ocorrerá em y e após em x. Por conseguinte, e com o intuito de manter a consistência dos cálculos devemos ser capazes de escrever então a variável y depende de funções de x ou seja g(x) ≤ y ≤ f(x) e a variável x fica da seguinte forma: a ≤ x ≤ b. Em suma, a forma dessas integrais é a seguinte:


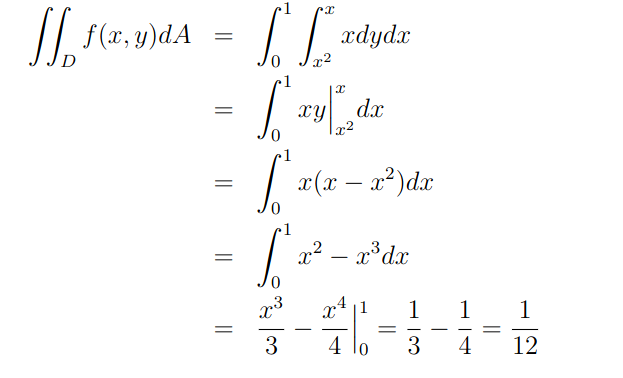
Com intuito de exemplificarmos essa questão, vamos considerar o problema de calcularmos a integral da função f(x,y) = x que está entre a interseção das curvas y = x^2 e y = x. Com efeito, veja que a intersecção das curvas é tal que x^2=x => x = 0 e x = 1. Logo, isso define os limites de integração em x de modo que temos 0 ≤ x ≤ 1. Por outro lado, temos ainda que a variável y nesses limites de x é tal que x^2


Regiões do tipo 2
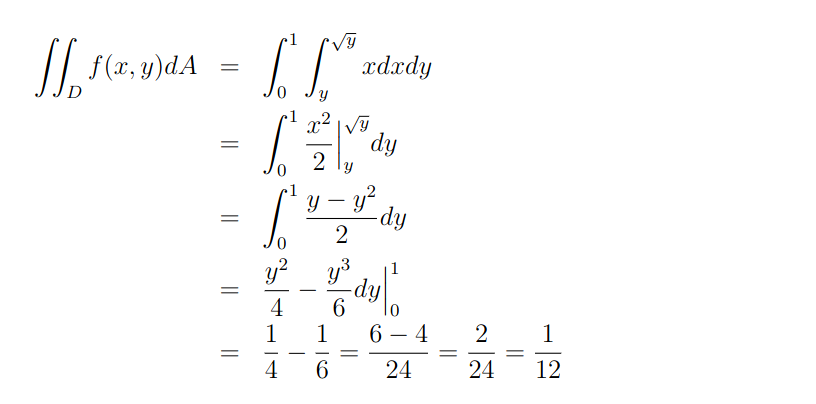
Regiões do tipo 2 são totalmente análogas as do tipo 1. Com a mudança de que teremos que o último parâmetro independente da integral é o parâmetro y. Logo, o elemento dA é dA = dxdy e aqui escrevemos g(y) ≤ x ≤ f(y) e a ≤ y ≤ b. Com a finalidade de exemplificação vamos calcular a mesma integral do exemplo anterior só que mudando a ordem de integração. De fato, há alguns casos em que isso é possível e logo podemos especificar regiões tanto do tipo 1 quanto do tipo 2.
Com efeito, aqui temos que, quando x varia de 0 até 1 y também varia de 0 até 1 e logo é imediato que 0≤y ≤1. Por outro lado, para x temos que ter cuidado, aqui as curvas dadas são y = x^2 e y = x logo as inversas dessas curvas são x = y e x = y^{1/2}. Logo, a variável x fica sendo tal que y ≤ x ≤y^{1/2}. Sob essas condições temos o seguinte desenvolvimento:


Referências
- STEWART, J. Cálculo – Volume 2. 8. ed. São Paulo: Cengage Learning, 2015.
- ANTON, H.; RORRES, C. Cálculo com Geometria Analítica – Volume 2. 8. ed. Porto Alegre: Bookman, 2013.
- THOMAS, D.; HASS, J. G.; WEIR, M. D. Cálculo – Um Curso Moderno e suas Aplicações. 10. ed. São Paulo: Pearson, 2013.
- KHAN ACADEMY. Khan Academy. Disponível em: https://pt.khanacademy.org/. Acesso em: 8 set. 2023.
- LAMAR, P. Paul’s Online Math Notes. Disponível em: http://tutorial.math.lamar.edu/. Acesso em: 8 set. 2023.
- MIT OPENCOURSEWARE. MIT OpenCourseWare. Disponível em: https://ocw.mit.edu/index.htm. Acesso em: 8 set. 2023.