Campo magnético é apenas um ente matemático, sendo uma interpretação da interação magnética entre dois corpos. Atualmente, a forma desse fenômeno é aceita pela comunidade científica. Nesse post, você vai ver o que é, linhas e fontes sobre este assunto. Confira!
Publicidade
O que é o campo magnético
O campo magnético é um campo vetorial. Ou seja, é um ente puramente matemático, o qual é usado como artifício para explicar a interação entre corpos que sofrem a interação magnética. Dessa maneira, é importante notar que esse ente não pode interagir com a matéria, visto que é apenas uma suposição matemática.
Para a teoria atualmente aceita para a interação magnética, esse ente matemático surge quando há algum corpo magnético no espaço. Por exemplo, um ímã. De modo geral, para a interação magnética pode acontecer a atração ou repulsão. Via de regra, corpos cuja polaridade é igual se repelem, já corpos com a polaridade oposta se atraem.
As linhas do campo magnético
Para a teoria atualmente aceita, o ente matemático que intermedia a atração magnética se manifesta por meio de linhas. Elas correspondem às linhas de um campo vetorial e facilitam a visualização do campo. Dessa forma, essas linhas têm algumas propriedades específicas. Veja quais são:
- São sempre fechadas. Isto é, não têm início ou fim;
- Por conveniência, assume-se que elas saem do polo norte e vão para o polo sul de um ímã;
- A sua densidade indica a intensidade do campo na região;
- Nunca se cruzam.
É importante notar que algumas destas propriedades correspondem às propriedades dos campos vetoriais. Por exemplo, a densidade ou o fato das linhas nunca se cruzarem. Além disso, não é possível ver um campo magnético, afinal é um ente matemático. Todos os experimentos que se propõem a fazê-lo mostram a interação dos corpos com o magnetismo, não com o campo.
Fontes de campo magnético
Há várias formas de gerar produzir o magnetismo. Ela pode ser feita de maneira natural, como os ímãs ou de maneira artificial. Nesse caso, é preciso que haja a presença de uma corrente elétrica. Veja as principais fontes de magnetismo:
Publicidade
Campo magnético gerado por corrente elétrica
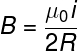
Quando a corrente elétrica percorre um fio condutor, há uma perturbação magnética ao seu redor. Segundo a teoria do eletromagnetismo clássico, as linhas de campo nesse caso são concêntricas em torno do fio. Matematicamente, essa relação é dada da seguinte forma:
Em que:
Publicidade
- B: campo magnético (T)
- μ0 : permissividade magnética do vácuo (4π x 10 –7 T.m/A)
- i: corrente elétrica (A)
- R: distância do fio(m)
Campo magnético de uma espira condutora
Paro caso de um fio fechado em formato circular, a fórmula do campo magnético é um pouco diferente. Veja como ela fica de modo qualitativo.

Em que:
- B: campo magnético (T)
- μ0 : permissividade magnética do vácuo (4π x 10 –7 T.m/A)
- i: corrente elétrica (A)
- R: distância do fio(m)
Campo magnético de uma bobina
Uma bobina condutora também é conhecida como solenoide. Elas são formadas por um longo fio enrolado várias vezes. Então é um número muito grande de espiras. Matematicamente, sua fórmula é:

Em que:
- B: campo magnético (T)
- μ0 : permissividade magnética do vácuo (4π x 10 –7 T.m/A)
- i: corrente elétrica (A)
- L: comprimento da bobina (m)
- N: número de voltas do solenoide
Campo magnético da terra
A fórmula para o magnetismo da Terra não é conteúdo do Ensino Médio. Ela exige um rigor e conhecimento matemático maior. A interação magnética da Terra se origina a partir do movimento do núcleo em relação à crosta terrestre. Ele é muito importante porque ajuda a proteger a Terra de tempestades solares, por exemplo.
Todas essas fontes de campo magnético podem ser explicadas por outras teorias para a interação magnética. As quais são mais simples, mas infelizmente não são aceitas pela comunidade científica. Uma dessas teorias é a Eletrodinâmica de Ampère.
Campo magnético uniforme
O campo magnético pode ser representado no espaço por um vetor indução magnética. Quando os dois possuem a mesma intensidade, pode-se dizer que o campo magnético é uniforme. Esse tipo de campo é obtido quando duas placas magnéticas, de polaridades opostas e planas são colocadas frente a frente.
Campo magnético X campo elétrico
O campo elétrico é a interação de cargas elétricas com o espaço. Já o campo magnético é a interação dos polos magnéticos com o espaço. Contudo, ambos são entes puramente matemáticos e não podem ser visualizados.
Vídeos sobre campo magnético
É hora de aprender mais sobre o que foi visto até aqui e as videoaulas selecionadas vão te ajudar. Elas tratam de exemplos e tópicos importantes sobre este tema. Confira:
Campo magnético de um fio longo e retilíneo
O professor Marcelo Boaro ensina como calcular o campo magnético de um fio longo e retilíneo. Para isso, o docente retoma alguns tópicos importantes sobre esse conteúdo. Por exemplo, a fórmula do campo magnético, regra da mão direita e mais. Ao fim da aula, o professor resolve um exercício de aplicação.
Campo magnético gerado por corrente elétrica
Uma das fontes do campo magnético é a corrente elétrica. Contudo, compreender como ambos interagem pode ser difícil. Dessa forma, o vídeo do professor Douglas Gomes pode ser muito útil. Ao longo do vídeo você vai entender como fazer o cálculo e poderá aplicá-lo em um exercício de aplicação ao fim da aula.
Regra da mão direita
Uma das formas mais fáceis de determinar a direção do campo magnético em um fio é a partir da regra da mão direita. Para explicá-la o professor Thales, do Canal Chama o Físico, faz uma rápida demonstração. A qual parte de exemplos práticos para ensinar o conteúdo. Confira!
A teoria atualmente aceita pela comunidade científica é a do eletromagnetismo clássico. Nela é admitido a existência de campos intermediando a ação magnética e elétrica. O principal precursor dessa teoria foi o inglês James Clerk Maxwell.
Referências
Física III: Eletricidade e magnetismo (2016) – Hugh D. Young et al.
Física: Volume 3 (2008) – David Halliday et al.
Curso de Física Básica: Volume 3 (2014) – Herch Moysés Nussenzveig.
Exercícios resolvidos
1. [UFPR]
O século XIX foi de extrema importância para o desenvolvimento da física. A partir das experiências pioneiras de alguns físicos, entre eles Coulomb e Oersted, a vida do ser humano começou a mudar radicalmente. Era o eletromagnetismo tomando sua forma e finalmente se materializando nos trabalhos de Maxwell, Faraday, Lenz, Ampere e outros. Nos dias de hoje, o eletromagnetismo é uma das bases científicas da vida moderna, fundamentando o funcionamento de dispositivos tão simples como uma lâmpada ou tão sofisticados como computadores e telefones celulares. Com relação ao eletromagnetismo, considere as seguintes afirmativas:
1. Um corpo eletricamente carregado possui excesso de cargas elétricas de um dado sinal. Tais cargas elétricas dão origem a um campo vetorial conhecido como campo elétrico, cujas linhas de campo começam ou terminam nessas cargas elétricas.
2. Para aproximar duas cargas elétricas de mesmo sinal com velocidade constante deve-se, necessariamente, aplicar uma força. Nesse processo, a energia potencial elétrica do sistema diminui.
3. Uma espira circular percorrida por corrente elétrica comporta-se como um ímã, apresentando dois polos, um norte e um sul. O sentido do campo magnético produzido é definido pelo sentido da corrente que circula na espira.
Assinale a alternativa correta.
a) Somente a afirmativa 1 é verdadeira.
b) Somente a afirmativa 2 é verdadeira.
c) Somente a afirmativa 3 é verdadeira.
d) Somente as afirmativas 1 e 3 são verdadeiras.
e) Somente as afirmativas 2 e 3 são verdadeiras.
Alternativa correta: D
A afirmativa 2 está incorreta porque no processo descrito, a energia potencial do sistema aumentará.
2.
Atualmente, para facilitar o entendimento, assume-se que há um dipolo magnético no interior do planeta Terra.
Essa ideia não é atual. Ela foi proposta originalmente por:
a) James C. Maxwell.
b) Isaac Newton.
c) Albert Einstein.
d) André-Marie Ampère.
e) Nikola Tesla.
Alternativa correta: D
André-Marie Ampère foi chamado de “O Newton da Eletricidade”, devido à grandiosidade de suas contribuições para esse ramo da física. Por exemplo, em sua teoria, ele propôs que a Terra seria um grande ímã. Ele foi o primeiro a fazer isso.