As Cônicas são alguns dos entes geométricos que nos deparamos ao avançarmos nos estudos de geometria analítica. Certamente, o entendimento das cônicas, a qual perpassa o estudo das elipses, parábolas e hipérbole. Entretanto, há diversos elementos que envolvem todos esses entes geométricos os quais, por vezes, podem ser de difícil memorização bem como entendimento ao passo que requerem fortes noções geométricas para estudo.
Então, tendo isso em vista nós da MeuGuru decidimos elaborar para você gurunauta um texto específico sobre essa parte da geometria analítica: as cônicas. Ademais, sabendo que perpassar tanto o estudo de parábolas, hipérboles e elíses é, em várias vezes, tarefa de vários capítulos em livros textos especializados da área nós buscamos trazer uma pequena série sobre cônicas. Assim, você terá em nosso blog um compilado de 3 artigos sobre cada uma das cônicas e, nesse texto, começaremos nossa pequena série no mundo da geometria analítica revisitando a famosa parábola.
Conhecendo as cônicas – Uma rápida introdução geral
De início, vamos então conhecer um pouco sobre o que são as cônicas e como podemos definir esses objetos geométricos. Com efeito, chamamos de cônicas curvas que podem ser obtidas no plano por meio da intersecção com um cone de duas folhas e logo, a figura que forma-se em tal processo é a cônica em questão.
Principais cônicas
Consequentemente, a forma com que fazemos o corte transversal implica na existência de uma ou mais cônicas possíveis. Então, feita essa ressalva vamos agora conhecer os três ou quatro tipos de cônicas que existem.
- Em primeiro ponto, temos a Parábola. Essa cônica consiste num objeto geométrico que é tal que a distância de um ponto fixo (o foco) para todos os pontos da curva é igual à distância de um ponto fixo (a reta diretriz). Não obstante, a relação de simetria da parábola se dá com relação a um eixo chamado de eixo de simetria.
- O primeiro tipo é a Elipse. Em suma, essa cônica é tal que a soma das distâncias de um ponto fixo (os focos) para todos os pontos da curva é constante. Ademais, a elipse tem dois eixos, o maior e o menor, e é simétrica em relação ao centro. Além disso, há ainda um caso particular dessa cônica que, por vezes, aponta-se como outra cônica que é a circunferência.
- Com efeito, na circunferência temos uma cônica em que todas as distâncias de um ponto fixo (o centro) para todos os pontos da curva são iguais.
- Por fim, temos a Hipérbole a qual define-se a partir da diferença das distâncias de um ponto fixo (os focos) para todos os pontos da curva é constante. Além do mais, seus dois ramos possuem simetria, mais precisamente, esses são simétricos em relação ao centro da hipérbole.
Assim, vemos as diferentes cônicas existentes, ressaltando que não precisamos considerar quatro mas apenas três delas. Uma vez que, o círculo/circunferência apresenta-se apenas como caso particular da elípse para quando não temos uma degenerescência no raio. Ademais, essas discussões podem ser bem esquematizadas na figura a seguir com os cortes planares que associam-se a cada cônica.
Elementos das cônicas: Parábola
Então, agora que temos em mente os aspectos básicos que se associam as cônicas adentraremos ao estudo da parábola agora. Com efeito, entendemos a parábola como sendo a cônica a qual possui várias propriedades matemáticas e geométricas, sendo as principais as que enunciamos logo a seguir.
- Eixo de simetria: É uma linha vertical que divide a parábola em duas partes simétricas.
- Vértice: É o ponto de máximo ou mínimo da parábola, localizado no eixo de simetria que denotamos por V.
- Foco: É um ponto fixo no plano que está em uma relação constante com todos os pontos da parábola, esse elemento denotaremos por F.
- Diretriz: É uma reta fixa no plano que está em uma relação constante com todos os pontos da parábola o qual denotaremos por d.
- Distância focal: É a distância entre o foco e o vértice da parábola.
- Eixo focal: É uma linha perpendicular ao eixo de simetria que passa pelo foco.
- Ramo: Em algumas parábolas, a curva pode se estender indefinidamente em uma direção.
Tais propriedades foram muito bem empregadas por diversos físicos e matemáticos ao longo da história. Com efeito, vale citar Gauss o qual empregou o estudo desses aspectos geométricos para formulação de leis físicas que associam-se a reflexividade dos raios de luz em espelhos côncavos e convexos.
Por fim, apresentamos a seguir esses elementos esquematizados sobre uma parábola.

Equações reduzidas para parábola
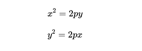
Quando nos referimos a parábola há algumas formas de equações que devem ser mencionadas por ganharem destaque importante no estudo da geometria dessa figura. Consequentemente, uma das formas que mais ganha-se destaque é a expressão reduzida da parábola a qual, por vezes, é de grande utilidade para nós obtermos vários elementos geométricos que sejam convenientes a nós.
Nesse contexto, veja a imagem a seguir a qual nos permitirá obter a equação reduzida sobre o eixo x.


Então, simplesmente usando a condição que define uma parábola em que a distância do foco F até o até o ponto P é igual a distância do ponto P até a reta d conseguimos obter as equações.


em que a segunda equação acima é obtida considerando um sistema análogo, no entanto, sob condição contrária com relação ao eixo em que a parábola é definida. Perceba que p/2 define o foco da parábola, além disso, temos ainda uma importante característica sobre o sinal do valor p.
- Se p > 0 a concavidade da parábola é para cima, e temos uma figura similar a um rosto sorridente.
- Se p < 0 a concavidade da parábola é para baixo, e temos uma figura similar a um rosto triste.
Equações paramétricas para parábola
Ademais, há ainda formas de se obter uma equação paramétrica para a parábola. Em suma, exploraremos também formas de introduzir algum parâmetro livre, o qual, por vezes é conveniente a nosso problema que permitirá termos um sistema de equações. Portanto, introduzir uma parametrização equivale, a passarmos de uma única representação da parábola em equação para uma representação em um sistema de equações que se definem-se a um parâmetro t real.
Dessa forma, é fácil ver que temos infinitos parâmetros possíveis a serem escolhidos. Assim, definir uma parábola com x=t e y(x) = y(x=t) define uma formulação paramétrica para a parábola. No entanto, é importante ressaltar que, a definição precisa do parâmetro é necessária uma vez que essa permitirá a nós conseguirmos garantir a total validade matemática da expressão. Com efeito, na seção seguinte exploraremos melhor essa questão resolvendo um problema prático.
Resolvendo problemas passo a passo sobre cônicas e parábolas
Agora, tendo em mente que já perpassamos alguns elementos teóricos das parábolas podemos então partir para a solução de um problema passo a passo. De fato, nosso problema será calcular os elementos básicos da parábola que define-se por: y² +6y-8x+17 = 0 e obteremos:
- (a) Equação reduzida e paramétrica;
- (b) Vértice e foco;
Solução
Agora, iremos resolver esse problema com você gurunauta. Com efeito, começamos pelo item (a) o qual nos pede para obtermos as equações da parábola em forma reduzida e paramétrica. Nesse sentido, perceba que temos em mãos a equação dada em forma geral da reta e logo segue que temos o seguinte desenvolvimento


isto é, nós simplesmente completamos quadrado na expressão dada e, por conseguinte, obtivemos a expressão desejada para a equação em forma reduzida. Agora, obteremos a expressão em forma paramétrica, para tanto, basta introduzirmos o parâmetro t de modo a ficarmos com x = t com x ≥ 1 e logo segue que (y+3)² = 8(t-1). Perceba que t ≥ 1 pois caso contrário, isto é t <1 segue que a expressão para a parábola não fica bem definida.
Iremos então resolver o item (b) para isso veja que (y+3)² = 2[4(x-1)] e logo segue que p = 4 consequentemente o foco F = p/2 = 2 e temos que o foco da parábola é F = 2. Ademais, veja que para o vértice temos que esse é obtido de forma imediata uma vez que temos em mãos a equação reduzida da parábola. Então, segue que o vértice V é V = (-3,1) que são as componentes que deslocam y e x na equação reduzida. Assim, nós concluímos nosso exercício.
Referências
- ANTON, H.; RORRES, C. Algebra Linear com Aplicacoes. Porto Alegre: Bookman, 2012. ISBN 9788573078473. Disponível em: https://books.google.com.br/books?id=pOaaSKP9IcMC. Acesso em: 25 abr. 2024.
- BOULOS, P.; DE CAMARGO, I. Geometria Analítica: Um Tratamento Vetorial. 3ª ed. reimpressão. São Paulo: Pearson Universidades, 2004. ISBN 9788587918918. Disponível em: https://books.google.com.br/books?id=lmnqAAAACAAJ. Acesso em: 25 abr. 2024.
- STEINBRUCH, Alfredo; WINTERLE, Paulo. Geometria Analítica. 6. ed. São Paulo: Pearson, 2009. 408 p.
- IEZZI, Gelson; DOLCE, Osvaldo; DEGENSZAJN, David; PÉRIGO, Roberto. Fundamentos da Matemática Elementar: Volume Único. São Paulo: Atual, 2019.