O sistema de coordenadas esféricas é extremamente útil em diversos problemas de Cálculo e Física. Decerto, a introdução de coordenadas curvilíneas já permite a nós realizarmos diversas simplificações e descrições de problemas geométricos de forma bem mais precisa que apenas com o uso das coordenadas cartesianas. Além disso, esse tema ainda é bem recorrente em provas e avaliações de cálculo diferencial intermediário e avançado e, portanto, sendo necessário ter em mente um grande domínio do assunto.
Tendo isso em vista, trouxemos a vocês um tutorial prático e direto sobre coordenadas esféricas. Com efeito, nesse artigo vamos te mostrar o que é o sistema de coordenadas esféricas e como podemos empregar esse sistema no cálculo integral. Assim, vamos atacar questões bem interessantes envolvendo o problema do ângulo sólido e de regiões do espaço que podem ser postas nessas coordenadas. Então gurunauta, vem com a gente que hoje vamos te ensinar tudo que é necessário sobre coordenadas esféricas para você arrebentar em suas provas.
O sistema de coordenadas esféricas
O sistema de coordenadas esféricas é um tanto quanto diferente dos sistemas polares e cilíndricos. Decerto, diferentemente desses sistemas aqui nós temos dois ângulos para a descrição dos pontos além da coordenada radial sendo que os ângulos que temos são um ângulo azimutal (medida do azimute que está compreendido entre os valores de 0 até pi) e o ângulo polar (medida angular polar análoga ao que já vimos nos outros sistemas estando compreendida entre 0 e 2 pi).
Com isso, é evidente que a inclusão da coordenada radial permitirá a nós que possamos descrever coordenadas que vão além do plano euclidiano, em verdade, com essas três poderemos localizar os pontos do espaço euclidiano tridimensional. Com efeito, veja a seguir um esquema do sistema de coordenada esférico.
Ademais, a partir disso podemos estabelecer a lei de associação entre as componentes cartesianas e esféricas, isto é, podemos escrever a transformação do sistema cartesiano para o sistema esférico o que é feito pela seguinte relação:

além disso, é importante ressaltar as limitações e aspectos interessantes dessa transformação. De início, perceba que ela conduz a seguinte relação

que é análoga a que tínhamos quando estávamos no sistema polar, todavia, aqui a inclusão do z^2 leva o sistema a uma esfera de raio r em vez de um círculo. Além disso, é importante ressaltarmos a limitação das variáveis as quais são
- 0 ≤ r ≤ ∞
- 0 ≤ θ ≤ 2π
- 0 ≤ Φ ≤ π
ou seja, a angulação azimutal varre a parte do sistema que estará associada a altura z o do conjunto geométrico que estaremos interessados em descrever. Por outro lado, as outras variáveis seguem as mesmas descrições do sistema polar e/ou das coordenadas cilíndricas.
Jacobiano e integração em coordenadas esféricas
Certamente, um dos grandes usos do sistema de coordenadas esféricas é o seu emprego para a avaliação de integrais triplas. Em verdade, há vários problemas, em particular os associados ao cálculo de volume que são muito mais fáceis de serem tratados se usarmos coordenadas esféricas em vista que por vezes o próprio problema já possua algum tipo de simetria. Nesse sentido, vamos então começar a falar sobre como podemos fazer o uso desse novo sistema de coordenada, porém, será necessário termos em mente o jacobiano da transformação.
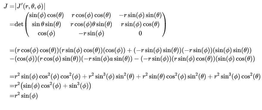
Em resumo, o jacobiano é o termo multiplicativo que aparece no elemento de área infinitesimal da integral que permite que conectemos corretamente a integral em coordenadas cartesianas para coordenadas esféricas. Assim, esse termo é de essencial importância para nosso desenvolvimento e tendo em vista sua importância iremos deduzir ele passo a passo com você gurunauta. Então, segue o desenvolvimento do Jacobiano usando a transformação que apresentamos na seção anterior.
Inicialmente, vamos computar a matriz das derivadas da componentes de cada transformação que é o seguinte.

Então, de posse disso podemos calcular o jacobiano desejado uma vez que este é simplesmente o determinante da matriz acima. Com efeito, teremos então o seguinte desenvolvimento.

de posse disso, segue então que a correspondência dos elementos infinitesimais é
- dV = dxdydz = r2sin(Φ)drdΦdθ
e assim a descrição de regiões geométricas fica mantida consistente e com isso você poderá enfim utilizar a mudança de variáveis para coordenadas esféricas sem problemas.
Elemento de área infinitesimal: Conheça o ângulo sólido
Além das coordenadas esféricas e da sua transformação há ainda um outro elemento que aparece nesse sistema que é bem interessante de ser destacado. Certamente, o ângulo sólido é um ente matemático que pode te dar uma boa dor de cabeça além de ser um elemento recorrente em aplicações da física e em problemas geométricos. Todavia, vamos querer aqui introduzir para você o que é o ângulo sólido.
Em geral, podemos pensar no ângulo sólido como um ângulo de visão desse modo sendo associado especificamente a parte angular para uma distância R fixada. Bom, podemos esquematizar esse ângulo que denotaremos por ômega maiúsculo por meio da figura a seguir.

Assim, veja que o ângulo sólido projeta uma região superficial S que podemos pensar como sendo a área de visão que temos perspectiva a partir do ângulo sólido. Ademais, podemos calcular o ângulo sólido a partir dessa área, a qual nomeamos de A e temos tanto para o elemento completo como para o elemento infinitesimal o seguinte

Como você pode perceber o ângulo sólido se liga diretamente as coordenadas esféricas ao passo que o elemento infinitesimal de volume associado a elas pode ser escrito como dV = dΩr2dr.
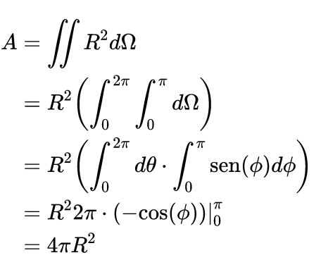
Agora, como aplicação prática do cálculo com coordenadas esféricas faremos o cálculo de duas quantidades associadas a uma esfera. Com efeito, calcularemos o volume da esfera de forma similar ao que fizemos com as integrais duplas e ainda calcularemos a área superficial da esfera. Para tanto, suporemos uma esfera completa de raio R. Logo, os limites de integração para esse problema ficam bem definidos por
- 0 ≤ r ≤ R
- 0 ≤ θ ≤ 2π
- 0 ≤ Φ ≤ π
dessa forma passamos ao cálculo do volume que é feito a seguir.

Agora, faremos o cálculo da área superficial da esfera a qual também usaremos coordenadas esféricas, entretanto, em vez de prosseguirmos com integrais triplas iremos recorrer as integrais duplas tendo o cuidado de analisar que aqui a integral será feito sobre o ângulo sólido do problema. Portanto, segue então que teremos o seguinte desenvolvimento.

Assim, concluímos nossas das aplicações.
Referências
- Anton, H., Bivens, I., & Davis, S. (2007). Cálculo – Um Curso Moderno e Suas Aplicações. Porto Alegre: Bookman.
- Stewart, J. (2013). Cálculo – Volume 1. São Paulo: Cengage Learning.
- Stewart, J. (2013). Cálculo – Volume 2. São Paulo: Cengage Learning.
- Stewart, J. (2013). Cálculo – Volume 3. São Paulo: Cengage Learning.
- Flemming, D., Gonçalves, M. B., & Costa, J. A. (2012). Cálculo – Volume Único. São Paulo: Pearson Education.
- MathWorld: Spherical Coordinates.